Летнее расписание автобусов начнет действовать в Сарове 18 апреля

ЖКХ 6-04-2022, 16:56 21 771      2

Летнее расписание автобусов начнет действовать в Сарове 18 апреля

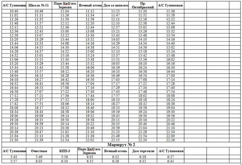
С 18 апреля «Горавтотранс» перейдет в Сарове на летнее расписание.

 

Его будут придерживаться автобусы, следующие по муниципальным маршрутам регулярных перевозок по регулируемым тарифам.


Скачать файл: letnee-raspisanie-s-18_04_2022.doc
Посмотреть онлайн файл: letnee-raspisanie-s-18_04_2022.doc




 


 


 


 


 


 


 


 


 


 


 


 


 

Фото: Мария Посыпай / «Саров24»

У данной публикации еще нет комментариев. Хотите начать обсуждение?

Добавить комментарий

Читайте также